aglasem
  • Home
  • Boards
    • Date Sheet
    • Admit Card
    • Result
    • Sample Paper
    • Question Paper
  • NCERT
    • NCERT Solutions
    • NCERT Books
    • NCERT Audio Books
    • NCERT Exempler
  • Study Material
    • Notes
    • Model Papers
    • Past Year Question Paper
    • Maps
    • Writing Skill Format
  • Solutions
    • NCERT Solutions
    • RD Sharma Solutions
    • HC Verma Solutions
    • CG Board Solutions
    • UP Board Solutions
  • Olympiads
    • NMMS
  • Admissions
  • Career Guide
    • Careers Opportunities
    • Courses & Career
    • Courses after 12th
No Result
View All Result
aglasem
  • Home
  • Boards
    • Date Sheet
    • Admit Card
    • Result
    • Sample Paper
    • Question Paper
  • NCERT
    • NCERT Solutions
    • NCERT Books
    • NCERT Audio Books
    • NCERT Exempler
  • Study Material
    • Notes
    • Model Papers
    • Past Year Question Paper
    • Maps
    • Writing Skill Format
  • Solutions
    • NCERT Solutions
    • RD Sharma Solutions
    • HC Verma Solutions
    • CG Board Solutions
    • UP Board Solutions
  • Olympiads
    • NMMS
  • Admissions
  • Career Guide
    • Careers Opportunities
    • Courses & Career
    • Courses after 12th
No Result
View All Result
aglasem
No Result
View All Result

Home » 9th Class » Kerala Class 9 English Question Paper 2025 (PDF) – Download Here

Kerala Class 9 English Question Paper 2025 (PDF) – Download Here

by Anand Meena
January 12, 2026
in 9th Class

Kerala Class 9 English Question Paper 2025 is available for download here. This Kerala Class 9 question paper is for English. It contains the exact questions asked in class 9 English exam held by KBPE last year. Therefore by solving this English question paper, you can sharpen your preparation and aim to score full marks in class 9 English exam.

Kerala Class 9 English Question Paper 2025

The Kerala Syllabus Question Papers for class 9th Class 9 English is as follows.


Kerala Class 9 English Question Paper 2025 Download Link – Click Here to Download Question Paper PDF

Kerala Class 9 English Question Paper 2024 Download Link – Click Here to Download Question Paper PDF

Kerala Class 9 English Question Paper 2023 Download Link – Click Here to Download Question Paper PDF


Kerala Class 9 English Question Paper 2025 PDF

The complete question paper is as follows.

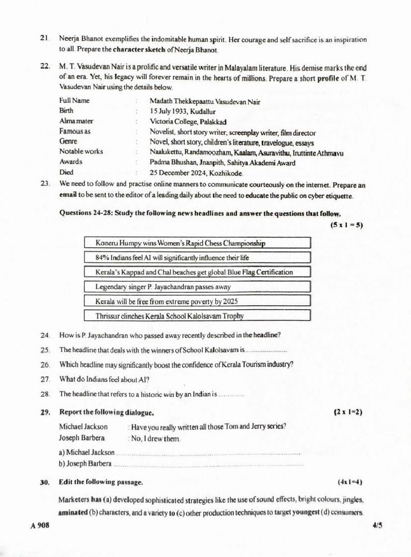
Kerala Class 9th Question Paper 2025 English View Download

Kerala Class 9 Previous Year Question Papers

The Kerala syllabus 9th standard question papers for all subjects are as follows.

  • Arabic
  • Biology
  • English
  • Hindi
  • Malayalam I
  • Malayalam II
  • Maths
  • Physics
  • Sanskrit
  • Science
  • Social Science
  • Urdu

Kerala Board Exams Previous Year Question Papers

You can also explore the Kerala Syllabus Previous Question Papers for other standards.

  • Kerala Class 5 Question Papers
  • Kerala Class 6 Question Papers
  • Kerala Class 7 Question Papers
  • Kerala Class 8 Question Papers
  • Kerala Class 9 Question Papers
  • Kerala SSLC Question Papers
  • Kerala Plus One Question Papers
  • Kerala Plus Two Question Papers

Kerala Syllabus 9th Standard English Solutions Guide

Apart from English question paper, students often search for English solutions. Here are some important points.

  • Teachers and English experts publish Kerala Syllabus Class 9 9th Standard English Solutions Guide PDF which you can download in English and Kannada medium.
  • The KSEAB Class 9 English Solutions contain questions and answers of all chapter-wise exercises of SCERT Kerala class 9 English textbook.
  • Therefore you can complete the Kerala Class 9 English syllabus with the solutions guide and then solve Kerala Class 9 English model paper, previous year paper, question pool to prepare for English test.

Kerala Class 9 English Question Paper – An Overview

The important things to know about this study material are as follows.

AspectsDetails
StateKerala
ClassClass 9 / Class 9
SubjectEnglish
Exam Year2025
Educational Resource HereKerala Syllabus Previous Question Papers Class 9 English
More Papers of This ClassKerala Syllabus Previous Question Papers Class 9
Education BoardKBPE (Kerala Board Of Public Examination)
More Papers of This BoardKerala Syllabus Previous Question Papers
KBPE Class 9 Date SheetKerala Class 9 Time Table
KBPE Class 9 ResultKerala Class 9 Results
Kerala Syllabus Sample PapersKerala Board Class 9 Model Question Papers

If you have any queries on Kerala Class 9 English Question Paper, then please ask in comments below.

Kerala Board
Kerala Board Question Papers
Kerala Class 9 PYQP

To get study material, exam alerts and news, join our Whatsapp Channel.

Tags: Class 9 Question PapersClass 9thKeralaQuestion Papers
Previous Post

Kerala Class 9 Arabic Question Paper 2025 (PDF) – Download Here

Next Post

Kerala Class 9 Hindi Question Paper 2025 (PDF) – Download Here

Related Posts

Class 9 Result
9th Class

MP Board 9th Result 2026 – Check MPBSE Class 9 Results

Class 9 Result
9th Class

NBSE Class 9 Result 2026 – Check Nagaland Board 9th Results

Class 9 Result
9th Class

Meghalaya Board 9th Result 2026 – Check MBOSE Class 9 Results

Class 9 Result
9th Class

JAC 9th Result 2026 – Check Jharkhand Board Class 9 Results

Leave a ReplyCancel reply

Kerala Board

  • Kerala Board Date Sheet
  • Kerala Board Results

Study Material

  • Kerala Board Question Paper
  • Kerala Board Model Paper
  • Kerala Board Syllabus
  • Kerala Board Notes
  • Kerala SSLC Question Pool

Scholarship Exams

  • Kerala NMMS for Class 8
  • LSS USS for class 4 and Class 7

Class Wise Study Material

  • Class 1
  • Class 2
  • Class 3
  • Class 4
  • Class 5
  • Class 6
  • Class 7
  • Class 8
  • Class 9
  • Class 10
  • Class 11
  • Class 12

AglaSem Study Material

  • AglaSem Notes
  • AglaSem Sample Papers
  • PT, HY, Annual PYQP
  • Important Questions
  • Competency Based Questions
  • Maps

Board Exams

  • Solved Sample Papers
  • Maps
  • Revision Notes
  • CBSE
  • State Board

Study Material

  • Class Notes
  • NCERT Solutions
  • NCERT Books
  • HC Verma Solutions
  • Courses After Class 12th

Exam Zone

  • JEE Main 2025
  • NEET 2025
  • CLAT 2025
  • Fashion & Design
  • Latest
  • Disclaimer
  • Terms of Use
  • Privacy Policy
  • Contact

© 2019 aglasem.com

  • Home
  • Boards
    • Date Sheet
    • Admit Card
    • Result
    • Sample Paper
    • Question Paper
  • NCERT
    • NCERT Solutions
    • NCERT Books
    • NCERT Audio Books
    • NCERT Exempler
  • Study Material
    • Notes
    • Model Papers
    • Past Year Question Paper
    • Maps
    • Writing Skill Format
  • Solutions
    • NCERT Solutions
    • RD Sharma Solutions
    • HC Verma Solutions
    • CG Board Solutions
    • UP Board Solutions
  • Olympiads
    • NMMS
  • Admissions
  • Career Guide
    • Careers Opportunities
    • Courses & Career
    • Courses after 12th

Discover more from AglaSem Schools

Subscribe now to keep reading and get access to the full archive.

Continue reading