Kerala SSLC English Question Paper 2025 is available for download here. This Kerala SSLC question paper is for English. It contains the exact questions asked in class 10 English exam held by KBPE last year. Therefore by solving this English question paper, you can sharpen your preparation and aim to score full marks in class 10 English exam.
Kerala SSLC English Question Paper 2025
The Kerala Syllabus Question Papers for class 10th SSLC English is as follows.
Kerala SSLC English Question Paper 2025 Download Link – Click Here to Download Question Paper PDF
Kerala SSLC English Question Paper 2024 Download Link – Click Here to Download Question Paper PDF
Kerala SSLC English Question Paper 2023 Download Link – Click Here to Download Question Paper PDF
Kerala SSLC English Question Paper 2025 PDF
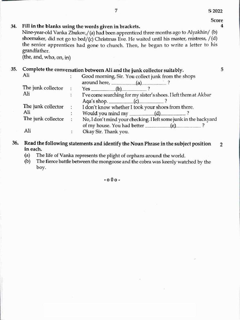
The complete question paper is as follows.
Kerala Class SSLC Question Paper 2025 English View Download







Kerala SSLC Previous Year Question Papers
The Kerala syllabus 10th standard question papers for all subjects are as follows.
- Biology
- Chemistry
- English
- Hindi
- Malayalam I
- Maths
- Physics
- Social Science
- Arabic
- Malayalam II
- Sanskrit
- Urdu
Kerala Board Exams Previous Year Question Papers
You can also explore the Kerala Syllabus Previous Question Papers for other standards.
- Kerala Class 5 Question Papers
- Kerala Class 6 Question Papers
- Kerala Class 7 Question Papers
- Kerala Class 8 Question Papers
- Kerala Class 9 Question Papers
- Kerala SSLC Question Papers
- Kerala Plus One Question Papers
- Kerala Plus Two Question Papers
Kerala Syllabus 10th Standard English Solutions Guide
Apart from English question paper, students often search for English solutions. Here are some important points.
- Teachers and English experts publish Kerala Syllabus SSLC 10th Standard English Solutions Guide PDF which you can download in English and Kannada medium.
- The KSEAB SSLC English Solutions contain questions and answers of all chapter-wise exercises of SCERT Kerala class 10 English textbook.
- Therefore you can complete the Kerala SSLC English syllabus with the solutions guide and then solve Kerala SSLC English model paper, previous year paper, question pool to prepare for English test.
Kerala SSLC English Question Paper – An Overview
The important things to know about this study material are as follows.
| Aspects | Details |
|---|---|
| State | Kerala |
| Class | Class 10 / SSLC |
| Subject | English |
| Exam Year | 2025 |
| Educational Resource Here | Kerala Syllabus Previous Question Papers SSLC English |
| More Papers of This Class | Kerala Syllabus Previous Question Papers SSLC |
| Education Board | KBPE (Kerala Board Of Public Examination) |
| More Papers of This Board | Kerala Syllabus Previous Question Papers |
| KBPE Class 10 Date Sheet | Kerala SSLC Time Table |
| KBPE Class 10 Result | Kerala SSLC Results |
| Kerala Syllabus Sample Papers | Kerala Board Class 10 Model Question Papers |
If you have any queries on Kerala SSLC English Question Paper, then please ask in comments below.
To get study material, exam alerts and news, join our Whatsapp Channel.

