Kerala Plus Two Statistics Question Paper 2025 has been published here. You can now download the Kerala Board Class 12 Statistics Previous Year Question Paper PDF to prepare for your final exam. This Kerala Plus Two Question Paper contains the exact questions of Statistics subject which were asked in last year’s DHSE / KBPE 12th standard board exam. Therefore by solving the Statistics paper, you can get a good idea of what to expect in this year’s test and aim to score full marks in Plus Two Statistics.
Kerala Plus Two Statistics Question Paper 2025
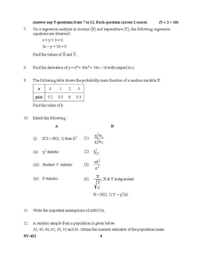
The Kerala Previous Year Question Paper for Class 12 (Plus Two) Statistics is as follows.
Kerala Plus Two Statistics Question Paper 2025 Download Link – Click Here to Download Question Paper PDF
Kerala Plus Two Statistics Answer Key 2025 Download Link – Click Here to Download Answer Key PDF
Kerala Plus Two Statistics Question Paper 2024 Download Link – Click Here to Download Question Paper PDF
Kerala Plus Two Statistics Answer Key 2024 Download Link – Click Here to Download Answer Key PDF
Kerala Plus Two Statistics Question Paper 2025 PDF
The complete paper is as follows.
Kerala Plus Two Question Paper 2025 Statistics View Download
















If you want to practice more pyqps in addition to the 2025 paper, then you can also check the following previous year papers.
| Kerala Plus Two Statistics Question Paper 2023 | Click Here |
| Kerala Plus Two Statistics Question Paper 2023 Answer Key | Click Here |
Kerala Plus Two Previous Year Question Papers
In addition to Statistics paper, you can check the question papers of other subjects as well. The Kerala syllabus Plus Two previous year question papers of all subjects are as follows.
- Accountancy with AFS
- Accountancy with CA
- Anthropology
- Arabic
- Arabic Optional
- Biology
- Business Studies
- Chemistry
- Computer Application Commerce
- Computer Application Humanities
- Computer Science
- Computer Science and Information Technology
- Economics
- Electronic Systems
- Electronics
- English
- English Communicative
- English Literature
- French
- Gandhian Studies
- Geography
- Geology
- German
- Hindi
- Hindi Optional
- History
- Home Science
- Islamic History and Culture
- Journalism
- Kannada
- Kannada Optional
- Latin
- Malayalam
- Malayalam Optional
- Maths Commerce
- Maths Science
- Music
- Philosophy
- Physics
- Political Science
- Psychology
- Russian
- Sanskrit
- Sanskrit Sahitya
- Sanskrit Sasthra
- Social Work
- Sociology
- Statistics
- Syriac
- Tamil
- Tamil Optional
- Urdu
- Urdu Optional
Kerala Board Question Papers
Similarly the previous year papers of Kerala syllabus for all classes are as follows.
- Kerala Class 5 Question Papers
- Kerala Class 6 Question Papers
- Kerala Class 7 Question Papers
- Kerala Class 8 Question Papers
- Kerala Class 9 Question Papers
- Kerala SSLC Question Papers
- Kerala Plus One Question Papers
- Kerala Plus Two Question Papers
Kerala Board Class 12 Statistics Previous Year Question Paper – An Overview
Some key highlights of this useful study material are as follows.
| Aspects | Details |
|---|---|
| State | Kerala |
| Class | Class 12th / Plus Two |
| Subject | Statistics |
| Exam Year | 2025 |
| Education Material Here | Kerala Board Exam Question Paper for Class 12 Statistics 2025 |
| More Papers of This Class | Kerala Board Exam Question Paper for Class 12 |
| Education Board | DHSE Kerala |
| More Papers of This Board | Kerala Board Exam Question Papers |
| DHSE Kerala Full Form | Directorate of Higher Secondary Education |
| Date Sheet | Kerala Plus Two Time Table |
| Result | Kerala Plus Two Result |
| Model Papers | Kerala Plus Two Model Paper |
If you have any queries on Kerala Plus Two Statistics Question Paper 2025, then please ask in comments below.
To get study material, exam alerts and news, join our Whatsapp Channel.

