Get here the Rashtriya Military School 2022 question paper. You can check all the questions asked in Rashtriya Military School 2022 exam and download the Rashtriya Military School 2022 question paper pdf from this page on Aglasem. If you appeared in the Rashtriya Military School 2022 exam then you can use this paper to match answers in answer key. Moreover if you are appearing for future Rashtriya Military School exams then you can use this question paper to prepare for Rashtriya Military Schools Common Entrance Test. The question paper of Rashtriya Military School 2022 with answers, solutions are given below.
Rashtriya Military School 2022 Question Paper
The question paper of Rashtriya Military School 2022 is as follows.
Direct Link to Download Rashtriya Military School 2022 Question Paper for Class 6 – Click Here
Direct Link to Download Rashtriya Military School 2022 Question Paper for Class 9 – Click Here
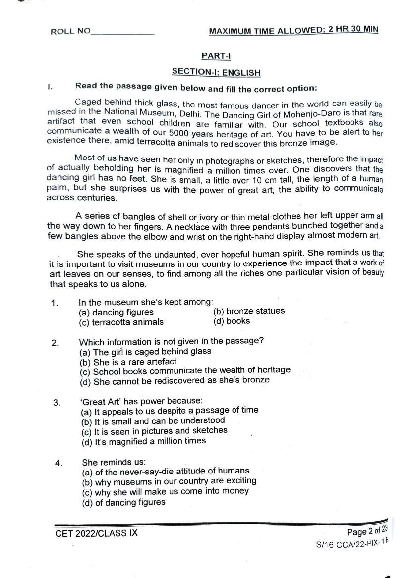
Rashtriya Military School 2022 Question Paper
The portable document format of the Rashtriya Military School Question Paper 2022 is as follows.
Rashtriya Military School RMS CET 2022-2023 Question Paper View Download






















































All Previous Year RMS CET Question Papers
Rashtriya Military School 2022 Question Paper – An Overview
The key highlights of this Rashtriya Military Schools Common Entrance Test (Rashtriya Military School) 2022 question papers are as follows.
| Aspect of Rashtriya Military School 2022 Question Paper | Details |
|---|---|
| Name of exam | Rashtriya Military School |
| Full form of exam name | Rashtriya Military Schools Common Entrance Test |
| Study Material Here for Rashtriya Military School exam | Previous Year Question Papers |
| Year of Exam | 2022 |
| Official Body for exam and Rashtriya Military School 2022 Question Paper | RMS |
| Full form of organization | Rashtriya Military Schools |
| Scope of Rashtriya Military School 2022 Question Paper | National Entrance Exam |
| Exam Type of Rashtriya Military School 2022 Question Paper | School entrance exam |
| Courses for which Rashtriya Military School 2022 Solved Paper is useful | Class 6 and 9 |
| Official website for Rashtriya Military School 2022 Question Papers | rashtriyamilitaryschools.edu.in |
How to download Rashtriya Military School 2022 Question Paper?
You can easily download the question paper of Rashtriya Military School 2022 with the following steps.
- Search Rashtriya Military School 2022 Question Paper aglasem.
- Then click the Rashtriya Military School 2022 Question Paper link of aglasem.
- After that the page of Rashtriya Military School 2022 Question Papers with Solutions opens.
- Thereafter read and download the Rashtriya Military School Question Paper 2022 pdf here.
After you download the question paper:
- Save the Rashtriya Military School 2022 Question Papers pdf.
- Then set a Rashtriya Military School preparation timetable, in which, give proper time to solve keyword1} 2022 PYQP.
- Accordingly, solve the Rashtriya Military School Question Paper 2022 within the exam time limit.
- After you solve the 2022 QP, check the Rashtriya Military School 2022 answer key / solution.
- Then see number of correct / incorrect answers as per Rashtriya Military School 2022 solutions.
- Assess your strengths, weaknesses for Rashtriya Military School exam.
- Then change your Rashtriya Military School exam preparation plan.
FAQs
Qs. Can I get Rashtriya Military School 2022 Question paper?
Ans. Yes, you can get the Rashtriya Military School 2022 question paper here.
Qs. How was the Rashtriya Military School 2022 paper?
Ans. You can read the complete Rashtriya Military School 2022 question paper analysis to know how the paper was. Overall, it was as per the syllabus by insertorg. Students who completed syllabus, practiced PYQPs, could do well.
Qs. Can I download Rashtriya Military School 2022 question papers with solutions?
Ans. Yes, you can download the pdf of Rashtriya Military School 2022 question papers with answers here.
Qs. Is there any book for Rashtriya Military School question papers?
Ans. Yes, a number of books are available on amazon for Rashtriya Military School question papers.
If you have any queries on Rashtriya Military School 2022 Question Paper, then please ask in comments below.
To get study material, exam alerts and news, join our Whatsapp Channel.



