ISC Class 12 Psychology Question Paper 2026 is made available for download here. You can review all the questions from the previous year’s CISCE Class 12 Psychology exam on aglasem.com and practice them to excel in your test. The ISC Class 12 previous year question paper for Psychology contains the exact questions set by the Council for the Indian School Certificate Examinations for that session. By solving these Psychology papers, you can enhance your exam preparation for the upcoming board exams.
ISC Class 12 Psychology Question Paper 2026
The CISCE previous year question paper of ISC Class 12 for Psychology are as follows.
ISC Class 12 Psychology Question Paper 2026 PDF Download Link – Will be added here
ISC Class 12 Psychology Question Paper 2025 PDF Download Link – Click Here to Download Question Paper
ISC Class 12 Psychology Question Paper 2024 PDF Download Link – Click Here to Download Question Paper
ISC Class 12 Psychology Question Paper 2023 PDF Download Link – Click Here to Download Question Paper
More ISC Psychology Previous year Question Papers Download Link – Click Here to Download Question Paper
ISC Class 12 Psychology Question Paper 2026 PDF
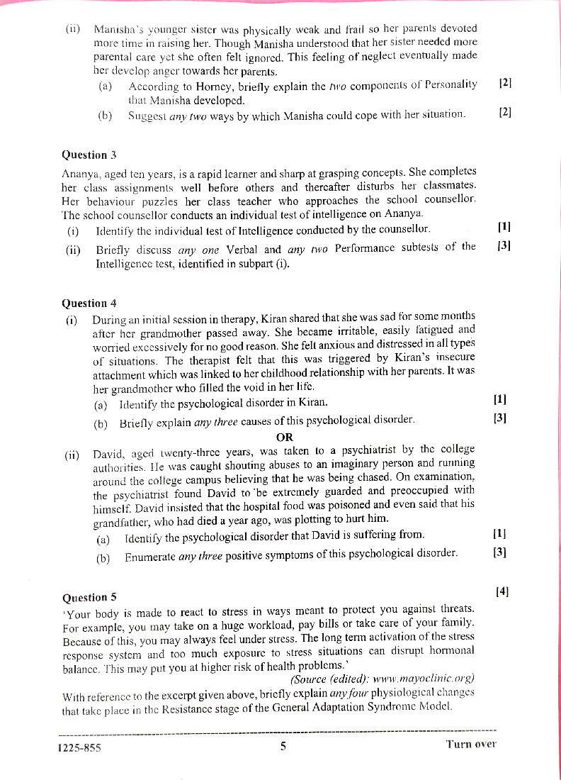
The complete Psychology question paper of last year is as follows. However you may find more ISC question paper pdf download link below.
ISC Class 12 Question Paper 2025 Psychology View Download







ISC Class 12 Previous Year Question Papers
There are multiple subjects in class 12. To do well in CISCE class 12 exams, you should solve past year papers for all. So here are all previous year question paper PDFs of ISC class 12.
- Accounts
- Arabic
- Art Paper 1 – Drawing Or Painting From Still Life
- Art Paper 2 – Drawing Or Painting From Nature
- Art Paper 3 – Drawing Or Painting Of A Living Person
- Art Paper 4 – Original Imaginative Composition In Colour
- Art Paper 5 – Crafts
- Bengali
- Biology
- Biotechnology
- Business Studies
- Carnatic Indian Music
- Chemistry
- Commerce
- Computer Science
- Economics
- Elective English
- Electricity and Electronics
- English Language
- English Literature
- Environmental Science
- Fashion Designing
- French
- Geography
- Geometrical & Building Drawing
- Geometrical & Mechanical Drawing
- Gujarati
- Hindi
- Hindustani Indian Music
- History
- Home Science
- Hospitality Management
- Kannada
- Legal Studies
- Lepcha
- Malayalam
- Mass Media & Communication
- Mathematics
- Mizo
- Modern Armenian
- Nepali
- Odia
- Physical Education
- Physics
- Political Science
- Psychology
- Punjabi
- Sanskrit
- Sociology
- Tamil
- Telugu
- Tibetan
- Urdu
- Western Music
CISCE Previous Year Question Papers
You can explore all past year papers of CISCE board here on aglasem.
ICSE Question Papers
- ICSE Class 10 Question Paper 2025
- ICSE Class 10 Question Paper 2024
- ICSE Class 10 Question Paper 2023
- ICSE Class 10 Question Paper 2020
- ICSE Class 10 Question Paper 2019
ISC Question Papers
- ISC Class 12 Question Paper 2025
- ISC Class 12 Question Paper 2024
- ISC Class 12 Question Paper 2023
- ISC Class 12 Question Paper 2020
- ISC Class 12 Question Paper 2019
ISC Class 12 Psychology Previous Year Question Paper – An Overview
The important features of this paper set are as follows.
| Aspects | Details |
|---|---|
| Board | CISCE |
| Class | Class 12 |
| Subject | Psychology |
| Resources Here | CISCE Previous Year Question Papers of Class 12 Psychology |
| All Question Papers of 2025 | ISC Class 12 Question Papers 2025 |
| More PYQP of This Class | CISCE Previous Year Question Papers of Class 12 |
| All PYQP of This Board | CISCE Previous Year Question Papers |
| Sample Papers | ISC Class 12 Specimen Papers |
| Date Sheet | ISC Class 12 Time Table |
| Results | ISC Class 12 Result |
If you have any queries on ISC Class 12 Psychology Question Paper 2026, then please ask in comments below.
To get study material, exam alerts and news, join our Whatsapp Channel.

