CBSE Class 10 Russian Question Paper 2024 is now available for download on aglasem.com! You can easily access the CBSE 10th Russian Previous Year Question Paper PDF from this page to enhance your exam preparation. This document includes all the questions from previous Russian tests conducted for standard 10 students, making it an excellent study resource. Additionally, it complements the CBSE class 10 Russian Sample Paper for all students. After utilizing the Russian paper, feel free to get more resources, including the CBSE Class 10 Question Paper for other subjects as well!
CBSE Class 10 Russian Question Paper 2024
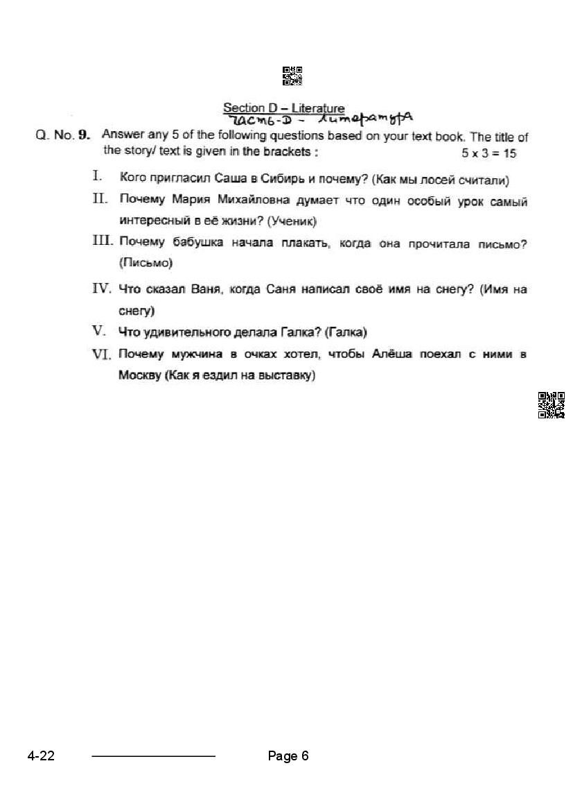
The CBSE question paper for class 10 Russian of the exam held in past years is as follows.
CBSE Class 10 Russian Question Paper 2024 PDF Download Link – Click Here to Download Question Paper
CBSE Class 10 Russian Question Paper 2023 PDF Download Link – Click Here to Download Question Paper
CBSE Class 10 Russian Question Paper Solutions – Click Here to Download Question Paper Solutions
CBSE Class 10 Russian Question Paper 2024 PDF
The complete Russian question paper is as follows. You can read all questions asked in last year’s test here at aglasem.com.
CBSE Class 10 Question Paper 2024 Russian View Download







More Class 10 Russian Question Paper
| 10 Exam | Russian Question Paper | Russian Answer Key |
|---|---|---|
| 2024 | Download Question Paper PDF | View Solution |
| 2023 | Download Question Paper PDF | View Solution |
| 2022 | Download Question Paper PDF | View Solution |
| 2020 | Download Question Paper PDF | View Solution |
CBSE Class 10 Question Paper
In class 10th, you will need to appear for more exams beyond just Russian. To prepare effectively, you can practice using the CBSE Previous Year Question Papers for class 10 for other subjects as well. Here you will find all the CBSE Class 10 Previous Year Question Papers available for each subject.
- Agriculture
- Apparel
- Arabic
- Artificial Intelligence
- Assamese
- Automotive
- Bahas Melayu
- Banking and Insurance
- Beauty and Wellness
- Bengali
- Bhutia
- Bodo
- Carnatic Music
- Computer Applications
- Data Science
- Elements Book Keeping and Accounting
- Elements of Business
- English
- English Communicative
- Food Production
- French
- Front Office Operations
- German
- Gujarati
- Gurung
- Health Care
- Hindi A
- Hindi B
- Hindustani Music
- Home Science
- Information Technology
- Introduction to Financial Markets
- Japanese
- Kannada
- Kashmiri
- Lepcha
- Limboo
- Malayalam
- Manipuri
- Marathi
- Marketing and Sales
- Maths Basic
- Maths Standard
- Mizo
- Multi Skill Foundation Course
- Multimedia
- NCC
- Nepali
- Odia
- Painting
- Persian
- Physical Activity Trainer
- Punjabi
- Rai
- Retail
- Russian
- Sanskrit
- Science
- Security
- Sherpa
- Sindhi
- Social Science
- Spanish
- Tamang
- Tamil
- Tangkhul
- Telugu
- Telugu Telangana
- Thai
- Tibetan
- Tourism
- Urdu A
- Urdu B
CBSE Previous Year Question Paper
There are previous year question papers for all classes of CBSE board exams. You can download class-wise CBSE question paper from here on aglasem.
- CBSE Class 5 Question Paper
- CBSE Class 6 Question Paper
- CBSE Class 7 Question Paper
- CBSE Class 8 Question Paper
- CBSE Class 9 Question Paper
- CBSE Class 10 Question Paper
- CBSE Class 11 Question Paper
- CBSE Class 12 Question Paper
CBSE Class 10 Russian Question Paper 2024 – An Overview
The key details of this study material are as follows.
| Aspect | Details |
|---|---|
| Board | CBSE |
| Class | Class 10 |
| Subject | Russian |
| Study Material Here | CBSE Class 10 Russian Previous Year Question Paper |
| Full Name of Board | Central Board of Secondary Education |
| More Question Papers of This Class | CBSE Class 10 Previous Year Question Paper |
| More Question Papers of This Board | CBSE Question Papers |
In conclusion, utilizing the CBSE Class 10 Russian Question Paper 2024 is an essential step in your preparation journey. With past year questions and detailed solutions, this resource will not only enhance your understanding of the subject but also boost your confidence for the upcoming exams. Don’t forget to download the CBSE 10th Russian Previous Year Question Paper PDF and combine it with the Sample Paper to ensure a comprehensive revision strategy. For more valuable study materials, explore additional resources available on aglasem.com. Stay dedicated, practice consistently, and achieve the success you deserve in your CBSE examinations!
If you found CBSE Class 10 Russian Question Paper 2024 helpful, then please share with your friends!
To get study material, exam alerts and news, join our Whatsapp Channel.

