Maharashtra HSC Maths Commerce Question Paper 2025 has been published here by aglasem. You can now download the HSC Maths Commerce Question Paper 2025 PDF to prepare for your exam. This Maharashtra HSC Question Paper contains actual questions asked in Maths Commerce test in previous year class 12 board exams. Therefore it is a very useful study material for Maths Commerce subject which helps you score full marks in HSC exams.
Maharashtra HSC Maths Commerce Question Paper 2025
The Maharashtra Board Exam Question Paper of Class 12 HSC Maths Commerce is as follows.
Maharashtra HSC Maths Commerce Question Paper 2025 Download Link – Click Here to Download Question Paper PDF
Maharashtra HSC Maths Commerce Question Paper 2024 Download Link – Click Here to Download Question Paper PDF
Maharashtra HSC Maths Commerce Question Paper 2023 Download Link – Click Here to Download Question Paper PDF
More Maharashtra HSC Maths Commerce Previous Year Question Papers Download Link – Click Here to Download Question Paper PDF
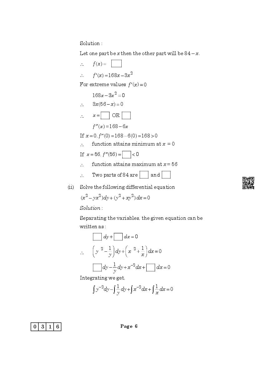
Maharashtra HSC Maths Commerce Question Paper 2025 PDF
The complete question paper is as follows.
Latest question paper is below. However all old papers download links are given above.
MH 12th Question Paper 2025 Maths (Commerce) View Download
































Maharashtra HSC Question Papers
Besides the Maths Commerce question paper, you can download HSC question for other subjects as well. Thus the Maharashtra board class 12 question papers for all subjects are as follows.
- Biology
- Book Keeping and Accountancy
- Chemistry
- Computer Science I
- Computer Science II
- Economics
- Electronics
- English
- French
- Geography
- Geology
- German
- Hindi
- History
- Logic
- Marathi
- Maths
- Maths Commerce
- Organisation of Commerce and Management
- Physics
- Political Science
- Psychology
- Sanskrit
- Scooter and Motorcycle Servicing
- Secretarial Practice
- Urdu
Maharashtra Board Question Papers
Similarly the previous year question papers for all classes of Maharashtra board are as follows.
- Maharashtra Board Class 9th Question Papers
- Maharashtra Board SSC 10th Question Papers
- Maharashtra Board HSC 12th Question Papers
HSC Maths Commerce
- You have to study the complete Maharashtra Board HSC Maths Commerce Syllabus as prescribed by MSBSHSE.
- Moreover you have to read the Maharashtra Board Class 12 Maths Commerce Textbook for this.
- You can refer to Maharashtra State Board Class 12 Maths Commerce Solutions or the Balbharati Solutions for Class 12 Maths Commerce Solutions Digest to solve chapter wise questions.
- Finally for exams, use Maharashtra Board HSC Maths Commerce question bank, sample papers, previous year papers to enhance your preparation.
Maharashtra Board Class 12 Maths Commerce Question Paper – An Overview
The important details of this critical study material are as follows.
| Aspects | Details |
|---|---|
| State | Maharashtra |
| Class | Std 12 / HSC |
| Subject | Maths Commerce |
| Educational Resource Here | Maharashtra Board Previous Year Question Paper of Class 12 Maths Commerce |
| More Question Papers of This Class | Maharashtra Board Previous Year Question Paper of Class 12 |
| Board of Education | MSBSHSE |
| More Question Papers of This Board | Maharashtra Board Previous Year Question Papers |
| MSBSHSE Full Form | Maharashtra State Board of Secondary & Higher Secondary Education |
| Exam Dates | Maharashtra HSC Time Table 2025 |
| Results | Maharashtra HSC Result 2025 |
| Std 12 Books | Maharashtra Board Class 12 Books |
| Class 12 Model Papers | HSC Sample Papers |
| Class 12 Syllabus | HSC Syllabus |
| Question Bank | Maharashtra HSC Question Bank |
If you have any queries on Maharashtra HSC Maths Commerce Question Paper 2025, then please ask in comments below.
To get study material, exam alerts and news, join our Whatsapp Channel.

