CBSE Class 12 Maths Question Paper 2026 is now available for download on aglasem.com! You can easily access the CBSE 12th Maths Previous Year Question Paper PDF from this page to enhance your exam preparation. This document includes all the questions from previous Maths tests conducted for standard 12 students, making it an excellent study resource. Additionally, it complements the CBSE class 12 Maths Sample Paper for all students. After utilizing the Maths paper, feel free to get more resources, including the CBSE Class 12 Question Paper for other subjects as well!
CBSE Class 12 Maths Question Paper 2026
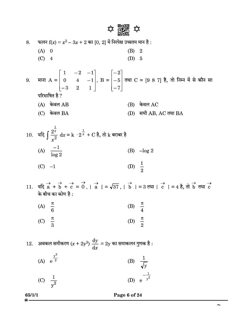
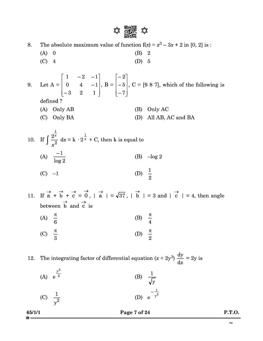
The CBSE question paper for class 12 Maths of the exam held in past years is as follows.
CBSE Class 12 Maths Question Paper 2026 PDF Download Link – Link to Download Question Paper will be updated after exam…
CBSE Class 12 Maths Question Paper 2025 PDF Download Link – Click Here to Download Question Paper
CBSE Class 12 Maths Question Paper 2024 PDF Download Link – Click Here to Download Question Paper
CBSE Class 12 Maths Question Paper 2023 PDF Download Link – Click Here to Download Question Paper
CBSE Class 12 Maths Question Paper Solutions – Click Here to Download Question Paper Solutions
CBSE Class 12 Maths Question Paper 2026 PDF
The complete Maths question paper is as follows. You can read all questions asked in last year’s test here at aglasem.com.
CBSE Class 12 Question Paper 2025 Maths View Download























More Class 12 Maths Question Paper
| 12 Exam | Maths Question Paper | Maths Answer Key |
|---|---|---|
| 2025 | Download Question Paper PDF | View Solution |
| 2024 | Download Question Paper PDF | View Solution |
| 2023 | Download Question Paper PDF | View Solution |
| 2022 | Download Question Paper PDF | View Solution |
| 2020 | Download Question Paper PDF | View Solution |
CBSE Class 12 Question Paper
In class 12th, you will need to appear for more exams beyond just Maths. To prepare effectively, you can practice using the CBSE Previous Year Question Papers for class 12 for other subjects as well. Here you will find all the CBSE Class 12 Previous Year Question Papers available for each subject.
- Accountancy
- Agriculture
- Air Conditioning and Refrigeration
- Applied Mathematics
- Arabic
- Artificial Intelligence
- Assamese
- Automotive
- Banking
- Beauty and Wellness
- Bengali
- Bhutia
- Biology
- Biotechnology
- Bodo
- Business Administration
- Business Studies
- Carnatic Music
- Chemistry
- Commercial Art
- Computer Science
- Cost Accounting
- Dance
- Dat Science
- Design
- Early Childhood Care and Education
- Economics
- Electrical Technology
- Electronics Technology
- Engineering Graphics
- English Core
- English Elective
- Entrepreneurship
- Fashion Studies
- Financial Markets Management
- Food Nutrition and Dietetics
- Food Production
- French
- Front Office Operations
- Geography
- Geospatial Technology
- German
- Graphics
- Gujarati
- Health Care
- Hindi Core
- Hindi Elective
- Hindustani Music
- History
- Home Science
- Horticulture
- Informatics Practices
- Information Technology
- Insurance
- Japanese
- Kannada
- Kashmiri
- KTPI
- Legal Studies
- Lepcha
- Library Information Sciene
- Limboo
- Malayalam
- Manipuri
- Marathi
- Marketing
- Mass Medi Studies
- Maths
- Medical Diagnostics
- Mizo
- Multimedia
- NCC
- Nepali
- Odia
- Office Procedures Practices
- Painting
- Persian
- Physical Education
- Physics
- Political Science
- Psychology
- Punjabi
- Retail
- Russian
- Salesmanship
- Sanskrit Core
- Sanskrit Elective
- Sculpture
- Shorthand
- Sindhi
- Sociology
- Spanish
- Tamil
- Tangkhul
- Taxation
- Telugu
- Telugu Telangana
- Textile Design
- Tibetan
- Tourism
- Typography Computer Applications
- Urdu Core
- Urdu Elective
- Web Applications
- Yoga
CBSE Previous Year Question Paper
There are previous year question papers for all classes of CBSE board exams. You can download class-wise CBSE question paper from here on aglasem.
- CBSE Class 5 Question Paper
- CBSE Class 6 Question Paper
- CBSE Class 7 Question Paper
- CBSE Class 8 Question Paper
- CBSE Class 9 Question Paper
- CBSE Class 10 Question Paper
- CBSE Class 11 Question Paper
- CBSE Class 12 Question Paper
CBSE Class 12 Maths Question Paper 2026 – An Overview
The key details of this study material are as follows.
| Aspect | Details |
|---|---|
| Board | CBSE |
| Class | Class 12 |
| Subject | Maths |
| Study Material Here | CBSE Class 12 Maths Previous Year Question Paper |
| Full Name of Board | Central Board of Secondary Education |
| More Question Papers of This Class | CBSE Class 12 Previous Year Question Paper |
| More Question Papers of This Board | CBSE Question Papers |
In conclusion, utilizing the CBSE Class 12 Maths Question Paper 2026 is an essential step in your preparation journey. With past year questions and detailed solutions, this resource will not only enhance your understanding of the subject but also boost your confidence for the upcoming exams. Don’t forget to download the CBSE 12th Maths Previous Year Question Paper PDF and combine it with the Sample Paper to ensure a comprehensive revision strategy. For more valuable study materials, explore additional resources available on aglasem.com. Stay dedicated, practice consistently, and achieve the success you deserve in your CBSE examinations!
If you found CBSE Class 12 Maths Question Paper 2026 helpful, then please share with your friends!
To get study material, exam alerts and news, join our Whatsapp Channel.

