JAC Board Class 11 Maths Question Paper 2026, 2025 are available here. You can download the Jharkhand Board class 11th Maths Question Paper PDF from here on aglasem. The JAC Class 11 Previous Year Question Paper of Maths subject contains actual questions asked in past year Maths exam. Therefore if you solve this Maths question paper then you will get a good idea of what to expect in upcoming JAC board exams and have better chances of getting full marks in it.
JAC Board Class 11 Maths Previous Year Question Paper
The JAC Board Previous Year Question Paper of Class 11 for Maths is as follows.
JAC Board Class 11 Maths Question Paper 2026 PDF Download Link – Link to Download Question Paper PDF will be updated here
JAC Board Class 11 Maths Question Paper 2025 PDF Download Link – Click Here to Download Question Paper PDF
JAC Board Class 11 Maths Question Paper 2024 PDF Download Link – Click Here to Download Question Paper PDF
JAC Board Class 11 Maths Previous Year Question Paper PDF
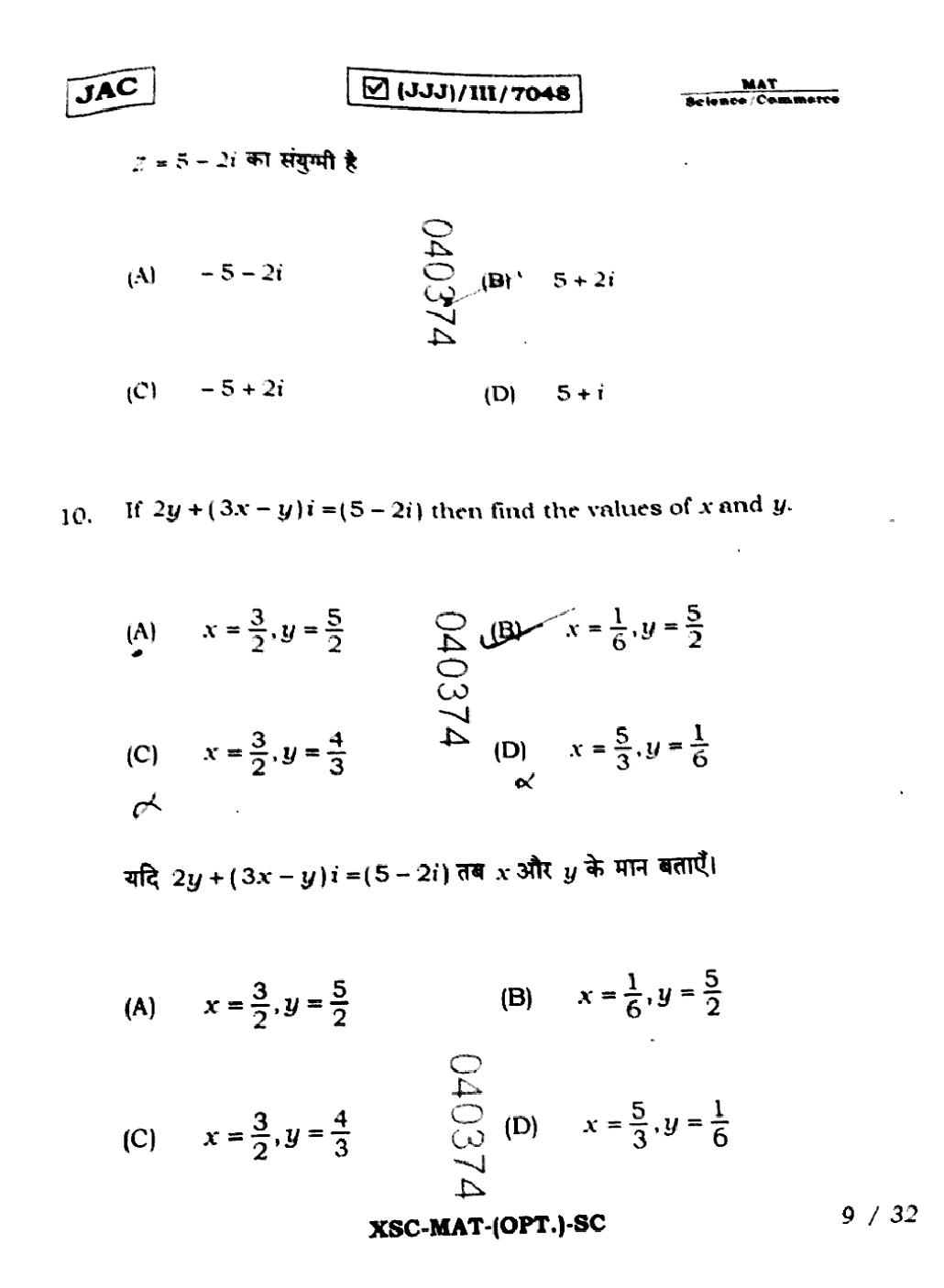
The complete question paper is as follows.
JAC Board Class 11 Question Paper 2025 Mathematics View Download






























Jharkhand Board Class 11 Previous Year Question Papers
Whereas here you can easily download the Maths question paper. There are more subjects to study in 11th standard. The PYQPs of all papers are as follows.
- Accountancy
- Business Studies
- Chemistry
- Computer Science
- Economics
- English (Arts)
- English (Science / Commerce)
- Geography
- Hindi
- History
- IT ITES
- Maths
- Physics
- Political Science
- Sanskrit
JAC Previous Year Question Papers
Similarly you can check out the past year exam question papers for the Jharkhand Board as follows.
- JAC Class 10 Previous Year Question Papers
- JAC Class 11 Previous Year Question Papers
- JAC Class 12 Previous Year Question Papers
JAC Board Class 11 Maths Question Paper – An Overview
The important elements of this study material, and associated resources, are as follows.
| Aspects | Details |
|---|---|
| State | Jharkhand |
| Board | JAC (Jharkhand Academic Council) |
| Class | Class 11 |
| Subject | Maths |
| Resource Here | Jharkhand Board Previous Year Question Paper of Class 11 Maths |
| More PYQPs of This Class | Jharkhand Board Previous Year Question Paper of Class 11 |
| All Old Papers of This Board | Jharkhand Board Previous Year Question Papers |
| Class 11 Exam Dates | JAC 11th Time Table |
| Class 11 Results | JAC 11th Result |
| Admit Card for Exam | JAC Class 11th Admit Card |
| Maths Sample Papers | JAC Class 11th Model Question Paper |
| Maths Syllabus | JAC Class 11th Syllabus |
If you have any queries on JAC Board Class 11 Maths Previous Year Question Paper, then please ask in comments below.
To get study material, exam alerts and news, join our Whatsapp Channel.
