TN 12th Public Exam Maths Question Paper 2026 is the previous year question paper of Maths subject. If you are preparing for Tamil Nadu board exams for HSE (+2) standard, then you can download the 12th Maths Question Paper PDF to see question type, difficulty level, exam pattern. Here you will find the 12th Public Exam Question Paper for Maths, and you can use it with the Maths model paper to enhance your exam preparation.
TN 12th Public Exam Maths Question Paper 2026
The TN Board Previous Year Question Paper for HSE (+2) (Class 12) Maths is as follows.
TN 12th Public Exam Maths Question Paper 2026 PDF Download Link – Link to Download 2026 Question Paper will be added here…
TN 12th Public Exam Maths Question Paper 2025 PDF Download Link – Click Here to Download 2025 Question Paper
TN 12th Public Exam Maths Question Paper 2024 PDF Download Link – Click Here to Download 2024 Question Paper
TN 12th Public Exam Maths Question Paper 2023 PDF Download Link – Click Here to Download 2023 Question Paper
TN 12th Public Exam Maths Question Paper 2022 PDF Download Link – Click Here to Download 2022 Question Paper
TN 12th Public Exam Maths Question Paper 2026 PDF
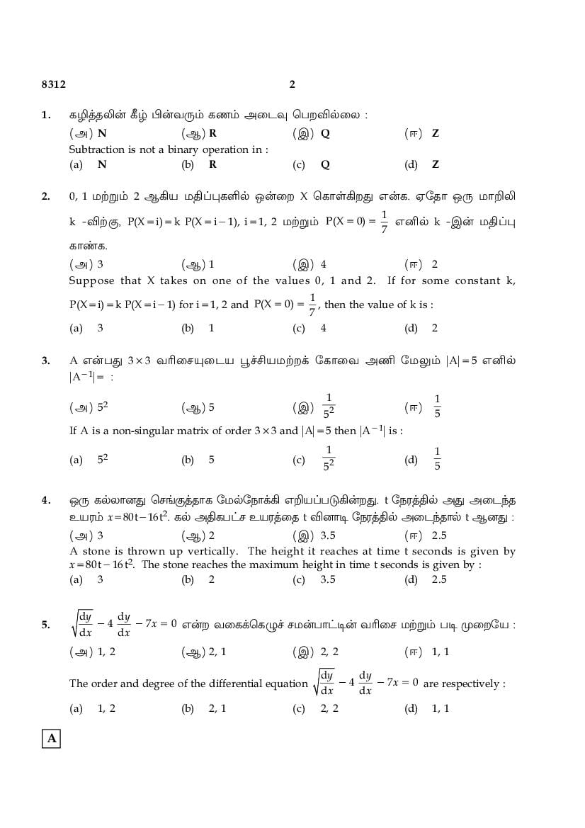
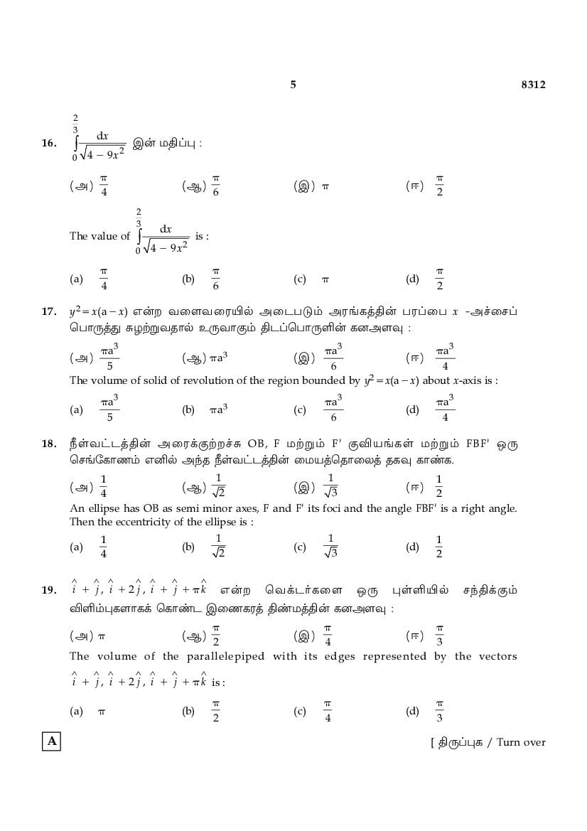
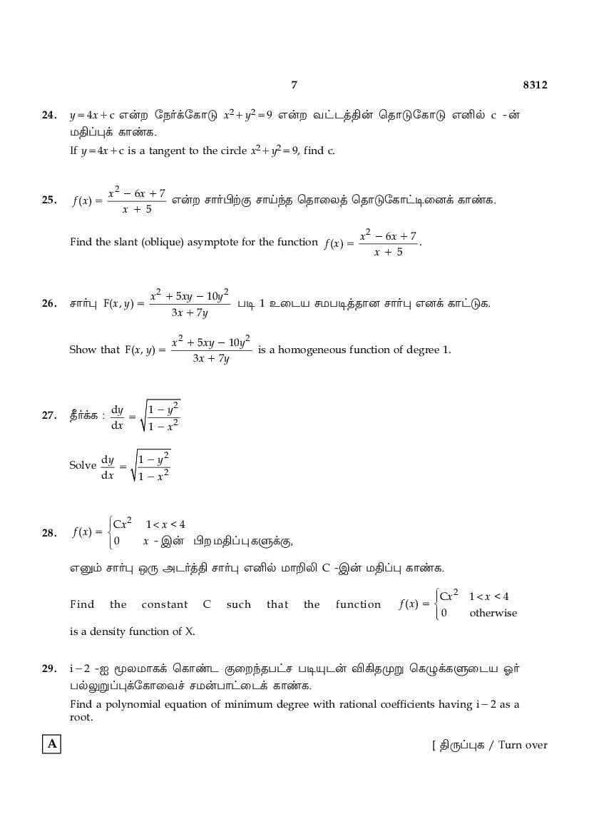
While you can easily download the TN 12th Maths previous year question paper from link above. Similarly you can study the complete Maths question paper here also. The entire HSE (+2) question paper is as follows.
TN 12th Question Paper 2025 Mathematics View Download













Many a time students look for 12th Maths Question Paper with Answer Key. If you too want it, then one option is to solve the TN HSE (+2) Maths question paper using Samacheer Kalvi 12th Books and Samacheer Kalvi 12th Books Solutions. However if you want line by line answers for Maths paper, then you can use Tamil Nadu Board class 12 Maths Previous Year Question Paper Answer Key by schools, and coaching centers.
Tamil Nadu HSE (+2) Previous Year Question Papers
Are you aiming for high marks in all subjects? Then check out the past year papers of TN board class 12 exams for all subjects from here at aglasem.
- Accountancy
- Agricultural Science
- Arabic
- Basic Automobile Engineering
- Basic Civil Engineering
- Basic Electrical Engineering
- Basic Electronics Engineering
- Basic Mechanical Engineering
- Bio Chemistry
- Biology
- Botany
- Business Mathematics & Statistics
- Chemistry
- Commerce
- Computer Application
- Computer Science
- Computer Technology
- Economics
- Employability Skills
- English
- English Communicative
- Ethics & Indian Culture
- Food Service Management
- French
- Geography
- German
- Hindi
- History
- Home Science
- Kannada
- Malayalam
- Maths
- Microbiology
- Nursing
- Nursing (Vocationl)
- Nutrition Dietetics
- Office Management & Secretaryship
- Physics
- Political Science
- Sanskrit
- Statistics
- Tamil
- Tamil Advanced
- Telugu
- Textile Technology
- Textile & Dress Designing
- Urdu
- Zoology
Tamil Nadu Board Previous Year Question Papers
The various public exam papers for TN Board exams are as follows, class wise.
TN 12th Public Exam Maths Question Paper – An Overview
The important key points of this study material are the following.
| Aspects | Details |
|---|---|
| State | Tamil Nadu |
| Class | Class 12 |
| Subject | Maths |
| Educational Resource Here | Tamil Nadu Board Previous Year Question Paper of Class 12 Maths |
| More Annual Exam Question Papers of This Class | Tamil Nadu Board Previous Year Question Paper of Class 12 |
| Similar Public Exam Papers Of This Board | Tamil Nadu Board Previous Year Question Papers |
| More About This Board | Tamil Nadu Board |
If you have any queries on TN 12th Public Exam Maths Question Paper 2026, then please ask in comments below.
To get study material, exam alerts and news, join our Whatsapp Channel.

