Meghalaya Board (MBOSE) Class 12 Question Paper 2025 for Mathematics is now available for download. You can download the MBOSE HSSLC Mathematics Question Paper PDF from this page of aglasem. This Meghalaya Board Class 12 Question Paper is for the subject Mathematics containing exact questions asked by the Meghalaya Board of School of Education in past year class 12 exams of Mathematics. Therefore by solving this HSSLC Mathematics question paper, you can target full marks in the upcoming class 12 exams.
Meghalaya Board (MBOSE) Class 12 Question Paper 2025 for Mathematics
The Meghalaya Board previous year question papers of class 12 for Mathematics are as follows. Here at aglasem.com, you can download multiple HSSLC question paper of Mathematics.
Meghalaya Board (MBOSE) Class 12 Question Paper 2025 for Mathematics PDF Download Link – Click Here to Download Question Paper PDF
Meghalaya Board (MBOSE) Class 12 Question Paper 2025 for Mathematics PDF Download Link – Click Here to Download Question Paper PDF
Meghalaya Board (MBOSE) Class 12 Question Paper 2023 for Mathematics PDF Download Link – Click Here to Download Question Paper PDF
Meghalaya Board (MBOSE) Class 12 Question Paper 2022 for Mathematics PDF Download Link – Click Here to Download Question Paper PDF
Meghalaya Board (MBOSE) Class 12 Question Paper 2021 for Mathematics PDF Download Link – Click Here to Download Question Paper PDF
Meghalaya Board (MBOSE) Class 12 Question Paper 2020 for Mathematics PDF Download Link – Click Here to Download Question Paper PDF
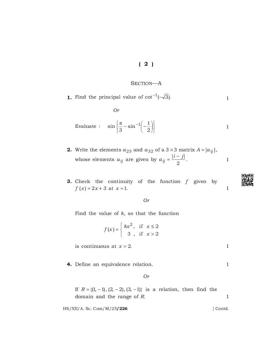
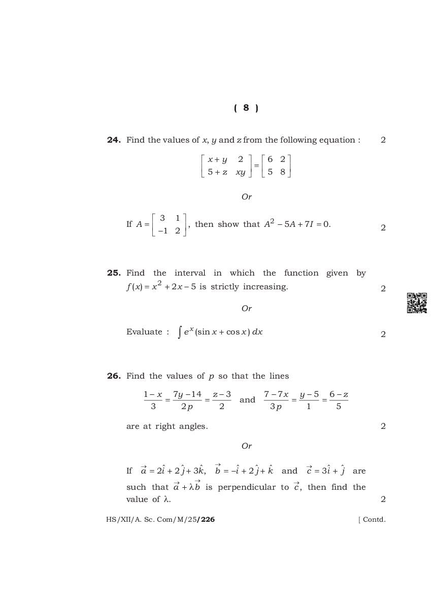
MBOSE HSSLC Mathematics Question Paper 2025 PDF
The complete class 12 question paper for Mathematics subject is as follows.
MBOSE Class 12 Question Paper 2025 for Maths View Download














MBOSE HSSLC Previous Year Question Papers
After solving the Mathematics question paper, you may want to practice the paper of other subjects. So here are all the Meghalaya Board class 12 previous year question papers at aglasem.
- Accountancy
- Agriculture
- Anthropology
- Assamese Elective
- Assamese Mil
- Beauty And Wellness
- Bengali Elective
- Bengali Mil
- Biology
- Business Studies
- Chemistry
- Computer Science
- Computer Techniques
- Economics
- Education
- Electronics And Hardware
- English
- English Alternative
- English Elective
- Entrepreneurship
- Gari Elective
- Garo Mil
- Geography
- Geology
- Health Care
- Hindi Elective
- Hindi Mil
- History
- Home Science
- Informatics Practices
- It Ites
- Khasi Elective
- Khasi Mil
- Mathematics
- Mizo Elective
- Mizo Mil
- Music Western
- Nepali Elective
- Nepali Mil
- Philosophy
- Physical Education
- Physics
- Political Science
- Poultry
- Psychology
- Sociology
- Statistics
- Tourism And Hospitality
Meghalaya Board Previous Year Question Papers
Just like you can download class 12 Mathematics question paper from this page. You can download the subject wise past year papers of all subjects and classes of Meghalaya Board from aglasem.com from below given links.
- Meghalaya Board Class 10 Question Paper
- Meghalaya Board Class 11 Question Paper
- Meghalaya Board Class 12 Question Paper
Meghalaya Board (MBOSE) Class 12 Question Paper for Mathematics – An Overview
The important highlights of this HSSLC Mathematics question paper are as follows.
| Aspects | Details |
|---|---|
| State | Meghalaya |
| Class | Class 12 |
| Subject | Mathematics |
| Paper | Meghalaya Board Class 12 Question Paper of Mathematics |
| All Past Year Papers of This Class | Meghalaya Board Class 12 Question Papers |
| All Past Year Papers of This Board | Meghalaya Board Previous Year Question Papers |
| More Study Material of MBOSE | Meghalaya Board |
| Class 12 Exam Dates | MBOSE HSSLC Routine |
| Class 12 Exam Results | MBOSE HSSLC Result |
| Class 12 Syllabus | MBOSE HSSLC Syllabus |
If you have any queries on Meghalaya Board (MBOSE) Class 12 Question Paper 2025 for Mathematics, then please ask in comments below.
To get study material, exam alerts and news, join our Whatsapp Channel.
